Випадіння волосся — одна з найпоширеніших причин звернення до дерматолога й трихолога у світі.
Його помічають жінки після стресу чи пологів, чоловіки — з віком, підлітки — на тлі гормональних змін. Але не кожне випадіння означає облисіння — і не кожне потребує агресивного лікування.
Розберімо тему науково, зрозуміло і без міфів.
1️⃣ Чому люди помічають випадіння волосся
Фази росту волосся
Джерело: Roland, J. (2024). What Are the Four Stages of Hair Growth? Medically reviewed by Joan Paul, MD, MPH, DTMH. Healthline. Оновлено: 13 грудня 2024.
Фізіологічний цикл росту волосся
Кожна волосина проходить чотири основні фази:
-
Анаген — фаза росту (2–7 років)
-
Катаген — перехідна фаза (2–3 тижні)
-
Телоген — фаза спокою та випадіння (2–3 місяці)
- Екзоген — фаза відокремлення та фізичного випадіння волосини, під час якої стара волосина залишає фолікул, а нова починає формуватися (триває від кількох днів до кількох тижнів; у нормі проходить непомітно, але при телогеновому випадінні кількість волосся в цій фазі різко зростає)
У нормі людина втрачає 50–100 волосин на день — це частина природного оновлення.
Випадіння ≠ облисіння
-
Випадіння волосся — збільшена кількість волосся у фазі телогену
-
Облисіння (алопеція) — зменшення кількості активних фолікулів або їх мініатюризація
Це принципово різні стани — і підходи до них теж різні.
2️⃣ Статистика: випадіння волосся у світі та в Україні
-
До 50% чоловіків і до 40% жінок стикаються з помітним випадінням волосся протягом життя
-
Андрогенетична алопеція — найчастіша форма:
-
у чоловіків — до 70% після 50 років
-
у жінок — до 40% після 40 років
-

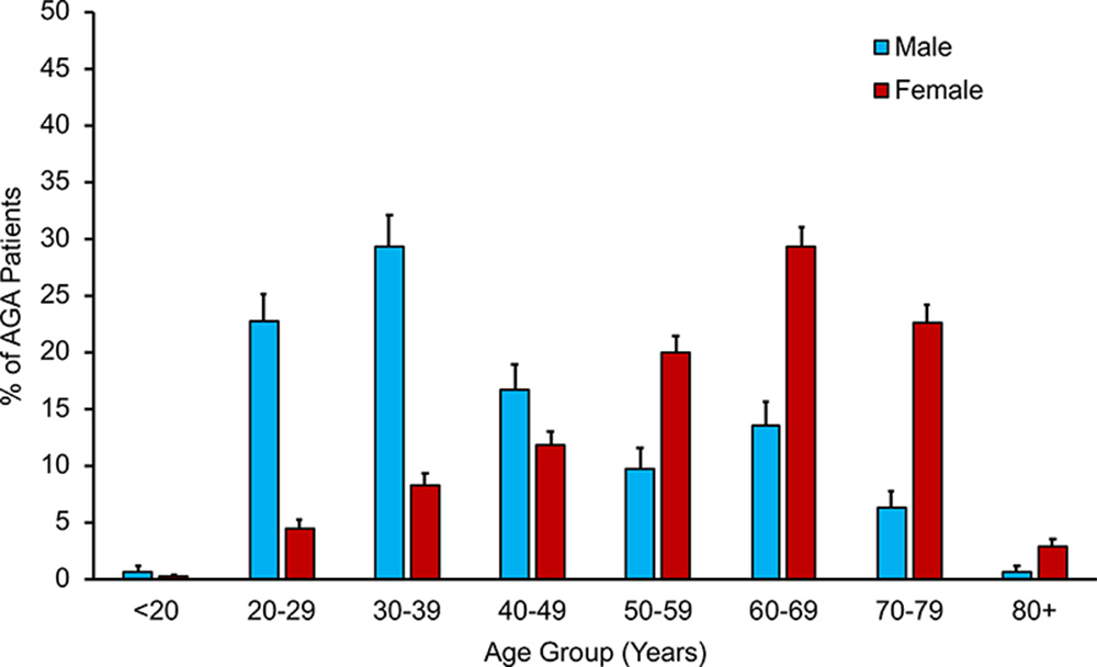
Рис. 1 — Віковий розподіл чоловіків (n = 286) та жінок (n = 706) з андрогенетичною алопецією (AGA).
Діаграма демонструє, як частота андрогенетичної алопеції змінюється залежно від віку, з поступовим зростанням поширеності в старших вікових групах.
-
Телогенове випадіння — основна причина дифузного випадіння у жінок
-
Після сильного стресу або COVID-19 випадіння фіксують до 30–40% людей
Джерело: Post-COVID Telogen Effluvium prevalence in COVID-19 patients
На частоту впливають:
-
генетика
-
вік
-
гормональний фон
-
харчування
-
хронічний стрес
3️⃣ Основні причини випадіння волосся
🔹 Гормональні фактори
-
андрогени (ДГТ)
-
порушення функції щитоподібної залози
-
післяпологові та перименопаузальні зміни
🔹 Дефіцити
-
залізо (низький феритин)
-
вітамін D
-
білок
-
цинк, В12
🔹 Медичні причини
-
аутоімунні захворювання
-
інфекції
-
прийом деяких ліків
🔹 Агресивний догляд
-
часті фарбування
-
термічні процедури
-
тугі зачіски
-
агресивні очищувальні засоби
🔹 Стрес
Фізичний або емоційний стрес переводить фолікули у фазу телогену з затримкою 2–3 місяці.
4️⃣ Типи випадіння волосся і як їх відрізнити
🔸 Телогенова алопеція (стресова)
Найпоширеніша форма.
Ознаки:
-
різке дифузне випадіння
-
волосся по всій голові
-
початок через 2–3 місяці після тригера
-
шкіра голови здорова
👉 часто тимчасова, але потребує корекції причин
🔸 Андрогенетична алопеція
Генетично обумовлена чутливість фолікулів до ДГТ.
Ознаки:
-
у чоловіків — залисини, маківка
-
у жінок — розширення проділу
-
поступове стоншення волосся
-
зменшення густоти
👉 не зникає самостійно, потребує системного підходу
🔸 Алопеція ареата
Аутоімунне захворювання.
Ознаки:
-
чіткі круглі ділянки без волосся
-
може супроводжуватися змінами нігтів
-
раптовий початок
👉 потребує обовʼязкової консультації лікаря
🔸 Локальне vs дифузне випадіння
-
Дифузне — рівномірно по всій голові
-
Локальне — конкретні зони (скроні, маківка, осередки)
5️⃣ Що робити: базові кроки
Коли звертатися до лікаря
-
випадіння триває >3 місяців
-
є залисини або осередки
-
супутні симптоми (втома, зміни шкіри, нігтів)
Обстеження
-
загальний аналіз крові
-
феритин
-
ТТГ, Т4
-
вітамін D
-
трихоскопія
Підтримка та догляд
-
достатнє споживання білка
-
мʼяке очищення шкіри голови
-
уникати агресивних процедур
-
масаж, стимуляція мікроциркуляції
Медичні підходи
-
топічні препарати
-
інʼєкційні методи
-
корекція дефіцитів
-
гормональна терапія (за показами)
6️⃣ Важливі факти без міфів
❌ «Один шампунь вилікує облисіння» — ні
❌ «Випадіння завжди означає алопецію» — ні
✔️ Стресове випадіння часто зворотне
✔️ Раннє виявлення = кращий прогноз
7️⃣ FAQ: поширені запитання
Чи можна зупинити андрогенну алопецію?
Її можна сповільнити та контролювати, але не «вимкнути» назавжди.
Скільки триває телогенове випадіння?
У середньому 3–6 місяців після усунення причини.
Чи випадає волосся через сезон?
Так, сезонне випадіння можливе, особливо восени.
Висновок
Випадіння волосся — це симптом, а не діагноз.
Розуміння типу алопеції, причин і механізмів — ключ до ефективних дій без паніки й зайвих витрат.
Коротка рекомендація
Якщо ви шукаєте мʼяку підтримку шкіри голови у період випадіння — звертайте увагу на засоби, які працюють з мікробіомом, мікроциркуляцією та барʼєром, а не обіцяють «чудо за 7 днів».













